Aurélie 07/02/07
 

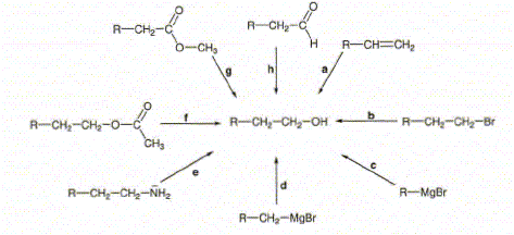
chimie ; concours Agrégation interne 2006 : interconversion de groupe fonctionnel conduisant à un alcool primaire


Google

a : addition anti-Markovnikov

addition du diborane B2H6 ou hydroboration ; le bore, moins électronégatif que H, se fixe sur l'atome de carbone le moins substitué.

puis l'hydrolyse acide de l'alkylborane conduit à l'alcool primaire.

ou bien addition radicalaire de HBr suivie d'une substitution nucléophile ( SN2) en milieu basique.


b : substitution nucléophile ( SN2) en milieu basique.

c :

étape 1 : solvant utilisé : éther anhydre

étape 2 : l'hydrolyse acide conduit à l'alcool primaire.

d :

étape 2 : l'hydrolyse acide conduit à l'alcool primaire.

e :



f : saponification ( hydrolyse basique d'un ester), chauffage à reflux.


g : réduction d'un ester par LiAlH4 ; puis hydrolyse acide

pas de solvant protique, milieu anhydre.


h : réduction d'un aldehyde par NaBH4 ; puis hydrolyse.


 

retour -menu