Aurélie 22/11/07
 

chimie organique de base, RMN, réaction de condensation concours assistant chimiste 2005 Alsace


Google

Quel est l'hydrocarbure dont la masse molaire est 28 g/mol ? 1 pt.

éthylène C2H4. M= 2*12 +4 = 28 g/mol

Quel est le nom de ce composé ? 1 pt.

2-méthylbutane.

Une macromolécule d'indice de polymérisation n = 2500 a une masse molaire M= 105 kg /mol.

Quelle est la masse molaire du monomère ? 1 pt.

105 000 / 2500 = 42 g/mol.

Quellle est la formule du PVC ? 1 pt.

Le pH d'un composé organique de concentration c=0,5 mol/L vaut 2,6.

Dites si ce composé est : 1 pt.

un acide fort , une base faible, une base forte, un acide faible.

Le pH est inférieur à 7 ( à 25 °C) : donc c'est un acide.

Le pH est supérieur à -log c = -log 0,5 =0,3 : c'est un acide faible.


Les équations bilan ci-dessous correspondent respectivement aux types de réactions suivantes :

Dire quelle colonne correspond aux bonnes réactions : 1 pt.

1
2
3
4
CH4+2O2-->CO2+2H2O
addition
combustion
polymérisation
substitution
C2H4+Cl2-->C2H4Cl2
combustion
addition
substitution
polymérisation
CH4+Cl2-->CH3Cl +HCl
combustion
addition
substitution
polymérisation
CH2=CH2--> -[-CH2--CH2-]-
combustion
addition
substitution
polymérisation
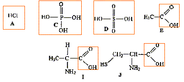
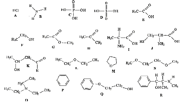
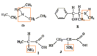
Donnez le nom des composés ci-dessous : 4 pt.


Parmi les molécules ci-dessous :

Quelles sont celles qui correspondent à : 5pts.

des amines :

des aldehydes :

des éthers :

des esters :

des acides :

 

des alcools :

Retrouver les formules correspondants à :

l'ammoniaque, l'acide écétique, le benzène, le tétrahydrofuranne, l'éthanol, la triéthylamine.


Attribuer à chaque groupe hydrocarboné le ou les signaux correspondants 5 pts.


La 1,1-diméthyhydrazine est un liquide de masse molaire 60 g/mol ayant une densité de 0,8. Le 4-hydrobenzaldehyde est un solide de masse molaire 122 g/mol.

Une réaction de condensation a lieu entre ces deux réactifs.

Quelle est la masse moalire de leur produit de réaction ? 3 pts.

M= 60+122-18 = 164 g/mol.

 Le rendement de la réaction est de 67% en produit isolé. Si l'on veut obtenir 11 g de produit final,

combien de 1,1 diméthylhydrazine faut-il utiliser ? 1 pt.

masse théorique de produit : m= 11/0,67 = 16,42 g

Quantité de matière théorique de produit : n = m/M = 16,42/164 =0,10 mol

Quantité de matière de 1,1-diméthylhydrazine : 0,10 mol

masse : 60*0,1 = 6,0 g.



Donner la formule semi-développée, le nom, la famille et le cas échéant la classe des composés A, B, C, D, E, F, G. 12 pts.

B + C--> A + HCl.

D + PCl5-> A + POCl3+HCl.

E --> B. oxydation par Cr2O72- en excès

F--> B. oxydation par Cr2O72- dilué.

G + H2O --> E + E' majoritaire, en présence H2SO4.


retour -menu