Aurélie 30/11/06
traitement de l'eau ; aspartame ; charge d'un condensateur d'après bts métiers de l'eau 2006

Google

Diminution de la teneur en fer dissout dans l'eau par précipitation (3 points)

On dispose d'une eau contenant du fer, uniquement sous forme d'ion ferreux Fe2+(aq) à la concentration massique t( Fe2+ ) = 270 mg/L.Cette valeur dépassant les limites fixées pour les eaux de consommation t( Fe2+ ) max= 200 mg/L, on désire diminuer la teneur en ion fer (II) en les faisant précipiter sous forme d'hydroxyde de fer (II). L'équation de la réaction chimique associée est la suivante : Fe2+(aq) + 2HO-(aq) =Fe(OH)2 (s)

  1. Déterminer la quantité de matière d'ion hydroxyde qu'il faut ajouter à 1 L de cette eau pour abaisser la concentration massique à la valeur t( Fe2+ ) = 150 mg/L ( on ne tient pas compte de la variation de volume)
  2. Afin de ne pas modifier le volume de façon significative, on procède par l'ajout d'une dose de 10,0 mL d'une solution de soude dans 1 L de cette eau. Quelle doit être la concentration massique de la solution de soude ? M(Fe) = 55,6 ; M(NaOH)=40,1 g/mol

corrigé
Quantité de matière d'ion hydroxyde qu'il faut ajouter à 1 L de cette eau pour abaisser à la valeur t( Fe2+ ) = 150 mg/L

Fe2+(aq) + 2HO-(aq) =Fe(OH)2 (s)

la concentration massique en ion fer Fe2+ doit diminuer de 270-150 = 120 m g

La mase d'ion Fe2+ doit diminuer de 120 m g ( 1,2 10-4 g) par litre.

Quantité de matière (mol) correspondante = masse ( g) / masse molaire (g/mol) = 1,2 10-4 /55,6 = 2,16 10-6 mol.

d'après les coefficients stoechiométriques de l'équation bilan : n(HO-) = 2 n(Fe2+) = 4,32 10-6 mol.

Afin de ne pas modifier le volume de façon significative, on procède par l'ajout d'une dose de 10,0 mL d'une solution de soude dans 1 L de cette eau.

La concentration massique de la solution de soude est :

concentration molaire (mol)L) de la soude : quantité de matière (mol) /volume (L) = 4,32 10-6 /10-2 = 4,32 10-4 mol/L

concentration massique ( g/L) concentration molaire (mol/L) * masse molaite (g/mol)

t(NaOH) = 4,32 10-4 *40,1 =1,7 10-2 g/L.



L'eau : 3 points

 

  1. Ecrire le schéma de Lewis de la molécule d'eau.
  2. En utilisant la méthode VSEPR expliquer pourquoi la molécule d'eau est coudée.
  3. L'atome d'oxygène étant plus électronégatif que l'atome d'hydrogène, la molécule d'eau peut être considérée comme un dipôle électrique. Expliquer, par une phrase illustrée par un schéma, comment cette propriété intervient lors de l'hydratation ( solvatation) d'un anion. On adoptera la symbolique suivante :
  4. Sous une pression normale, l'eau est gazeuse au dessus de 100°C. Cette température d'ébullition est élevée comparée à celle d'autres espèces chimiques de masses molaire voisine, comme le sulfure d'hydrogène, l'ammoniac ou le méthane qui sont toutes gazeuses à des températures plus basses. Quelle interaction permet d'expliquer l'observation décrite dans le commentaire précédent ? (Illustrer la réponse par un schéma sur lequel les molécules d'eau seront représentées par leurs formules développées)

corrigé
Schéma de Lewis de la molécule d'eau :

La molécule d'eau est coudée : la molécule d'eau est du type AX2E2 ( méthode VSEPR)

L'atome d'oxygène étant plus électronégatif que l'atome d'hydrogène, la molécule d'eau peut être considérée comme un dipôle électrique. Lors de l'hydratation ( solvatation) d'un anion négatif, celui-ci s'entoure de molécule d'eau ( force attractive de Coulomb).

Sous une pression normale, l'eau est gazeuse au dessus de 100°C. Cette température d'ébullition est élevée comparée à celle d'autres espèces chimiques de masses molaire voisine, comme le sulfure d'hydrogène, l'ammoniac ou le méthane qui sont toutes gazeuses à des températures plus basses.

Les liaisons hydrogène intermoléculaires ( pointillés rouges sur le schéma ) sont responsables de cette valeur anormalement élevée pour l'eau.


Stockage de l'eau dans une cuve en fer : 6 points

On place de l'eau dans une cuve en fer à l'air libre.

  1. Ecrire les demi-équations électroniques des couples oxydo-réducteur suivants :
    O2(aq)/H2O (liq) ; H2O (liq) / H2(aq) ; Fe2+(aq) / Fe (s) ; Fe(OH)3 (s) / Fe2+(aq)
  2. Les diagrammes potentiel -pH du fer et de l'eau sont représentés ci-après.
    - Quelles sont les espèces chimiques susceptibles de réagir avec le fer ?
    - Ecrire les équations chimiques des réactions qui ont lieu si le pH est voisin de 6 puis si le pH est voisin de 3. Justifier à l'aide du diagramme.
  3. Un clou en fer placé dans l'eau bouillie ne rouille pas. Cette observation est-elle conforme aux prévisions faîtes à l'aide du diagramme potentiel-pH ? Sinon proposer une explication.
  4. On considère uniquement la réaction du dioxygène dissout sur le fer qui conduit à Fe2+(aq). Etablir la relation liant la constante d'équilibre de cette réaction aux potentiels standard des couples mis en jeu et calculer sa valeur à 298 K.
    - Cette réaction est-elle favorisée en milieu acide ?
    O2(aq)/H2O (liq) ; E1°= 1,23 V ; Fe2+(aq) / Fe (s) E2°= -0,44 V

corrigé
Demi-équations électroniques des couples oxydo-réducteur suivants :
O2(aq)/H2O (liq) : ½O2(aq) +2e- + 2H+ = H2O (liq) (1)

H2O (liq) / H2(aq) : 2H2O (liq) +2e- = H2(aq) + 2HO-(aq) (2)

Fe2+(aq) / Fe (s) : Fe2+(aq)+2e- = Fe (s) (3)

Fe(OH)3 (s) / Fe2+(aq) : Fe(OH)3 (s) + e- = Fe2+(aq) + 3 HO-(aq) (4)

Les diagrammes potentiel -pH du fer et de l'eau sont représentés ci-après.
Les espèces chimiques susceptibles de réagir avec le fer sont : l'eau ; le dioxygène, Fe(OH)3 (s), Fe3+ et Fe(OH)2 (s) situées au dessus de Fe( s) sur le diagramme sont suceptibles d'oxyder le fer.
Equations chimiques des réactions qui ont lieu si le pH est voisin de 6 :

2 fois (4) - (3) : Fe (s) + 2Fe(OH)3 (s) = 3 Fe2+(aq) +6 HO-(aq)

(2) - (3) : Fe (s) +2H2O (liq) = H2(aq) + 2HO-(aq) +Fe2+(aq)

(1) - (3) : Fe (s) +½O2(aq) + 2H+ = H2O + Fe2+(aq)

Equations chimiques des réactions qui ont lieu si le pH est voisin de 3 :

2 fois (4) - (3) : Fe (s) + 2Fe3+(aq) = 3 Fe2+(aq)

(2) - (3) : Fe (s) +2H2O (liq) = H2(aq) + 2HO-(aq) +Fe2+(aq)

(1) - (3) : Fe (s) +½O2(aq) + 2H+ = H2O + Fe2+(aq)


Un clou en fer placé dans l'eau bouillie ne rouille pas : l'eau bouillie ne contient plus d'oxygène et la réaction entre Fe(s) et l'eau est très lente.

On considère uniquement la réaction du dioxygène dissout sur le fer qui conduit à Fe2+(aq) :

Relation liant la constante d'équilibre de cette réaction aux potentiels standard des couples mis en jeu et calcul de sa valeur à 298 K :

Fe2+(aq) / Fe (s) : Fe2+(aq)+2e- = Fe (s)

potentiel de Nernst : E2 = E2° + 0,03 log [Fe2+]

O2(aq)/H2O (liq) : ½O2(aq) +2e- + 2H+ = H2O (liq)

potentiel de Nernst : E1 = E1° + 0,03 log ([O2(aq)]½[H+]2)

à l'équilibre E2 =E1 ; E2° + 0,03 log [Fe2+] =E1° + 0,03 log ([O2(aq)]½[H+]2)

E1° -E2° = 0,03 log( [Fe2+] / [O2(aq)]½[H+]2 )

Fe (s) +½O2(aq) + 2H+ = H2O + Fe2+(aq) ; K= [Fe2+] / ([O2(aq)]½[H+]2)

E1° -E2° = 0,03 log(K) ; log K = (E1° -E2° )/0,03 = (1,23+0,44)/0,03 = 55,7 ; K= 4,6 1055.

L'ion H+ est l'un des réactifs ; mis en excès (milieu acide), il déplace l'équilibre dans le sens direct : cette réaction est favorisée en milieu acide.


Aspartame (3 points)

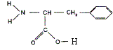
La molécule d'aspartame est un ester méthylique du dipeptide acide aspartique-phénylalanine. Sa formule semi-développée est :

  1. Entourer et nommer les différents groupes fonctionnels présents.
  2. L'ester méthylique de la phénylalanine est obtenu par une réaction d'estérification. Préciser les formules semi-développées des réactifs utilisés lors de cette estérification.
  3. On obtient l'aspartame par transformation de l'ester méthylique de la phénylalanine et de l'acide aspartique dont la formule est :


corrigé

L'ester méthylique de la phénylalanine est obtenu par une réaction d'estérification.

Les formules semi-développées des réactifs utilisés lors de cette estérification sont :

le méthanol CH3-OH la phénylalanine

On obtient l'aspartame par transformation de l'ester méthylique de la phénylalanine et de l'acide aspartique dont la formule est :


L'espèce chimique, autre que l'aspartame produite lors de cette transformation est H2O.


Charge d'un condensateur (5 points)

Soit le circuit électrique suivant dans lequel le condensateur est déchargé.

  1. Etablir l'équation différentielle régissant l'évolution de uc(t) tension aux bornes du condensateur.
  2. L'expression uc(t) = K(1-exp(-t/(RC)) est solution de l'équation différentielle.
    - En déduire l'expression de l'intensité i(t) du courant en fonction de K, R, C et t.
    - Déterminer la valeur de K à l'aide des conditions initiales.
    - On veut choisir le condensateur et le conducteur ohmique de façon que la tension aux bornes du condensateur soit égale à K/3 au bout de t= 0,5 s. Dans ces conditions déterminer la valeur de la constante de temps t=RC.
    - Quelle est la valeur de C si R= 4,7 kW ?

corrigé
Equation différentielle régissant l'évolution de uc(t) tension aux bornes du condensateur :

additivité des tensions : uc+uR=E avec uR=Ri

i = dq/dt et q=Cuc d'où i = Cduc/dt

par suite E= uc+RCduc/dt.

L'expression uc(t) = K(1-exp(-t/(RC))) est solution de l'équation différentielle.
Expression de l'intensité i(t) du courant en fonction de K, R, C et t :

i = Cduc/dt = K/Rexp(-t/(RC)))
Valeur de K à l'aide des conditions initiales :

à t=0 : uc(t=0) = 0, le condensateur n'a pas eu le temps de se charger ; d'où uR=E = Ri(t=0)

d'une part i(t=0 )= E/R et d'autre part : i(t=0 )=K/Rexp(0) = K/R ; K= E.
On veut choisir le condensateur et le conducteur ohmique de façon que la tension aux bornes du condensateur soit égale à K/3 au bout de t= 0,5 s.

Dans ces conditions la valeur de la constante de temps t=RC est :

K/3 = K(1-exp(-0,5/t)) ; 1/3 = 1-exp(-0,5/t) ; 2/3 = exp(-0,5/t) ;

ln(2/3 ) = -0,5/t ; ln(1,5 )= 0,5/t ; 0,405 =0,5/t ; t = 0,5/0,405 = 1,23 s.

La valeur de C est si R= 4,7 kW :

C= t / R = 1,23 / 4700 = 2,6 10-4 F.


retour -menu